高起点-语文 高起点-英语 高起点-数学 专升本-政治 专升本-英语 专升本-语文 医学综合 教育理论 民法 高等数学一 高等数学二 生态学基础 艺术概论
广西成教招生网 > 成人高考 > 成考辅导 > 高等数学一 >

2014年成人高考专升本高等数学一考试真题及参考答案

 一、选择题:每小题4分,共40分,在每小题给出的四个选项中,只有一项是符合题目要求。

  第1题

  

  参考答案:D

  第2题

  

  参考答案:A

  第3题

  

  参考答案:B

  第4题 设函数f(x)在[a,b]连续,在(a,b)可导,f’(x)>0.若f(a)·f(b)<0,则y=f(x)在(a,b)( )

  A.不存在零点

  B.存在唯一零点

  C.存在极大值点

  D.存在极小值点

  参考答案:B

  第5题

  

  参考答案:C

  第6题

  

  参考答案:D

  第7题

  

  参考答案:C

  第8题

  

  参考答案:A

  第9题

  

  参考答案:A

  第10题 设球面方程为(x一1)2+(y+2)2+(z一3)2=4,则该球的球心坐标与半径分别为( )

  A.(一1,2,一3);2

  B.(一1,2,-3);4

  C.(1,一2,3);2

  D.(1,一2,3);4

  参考答案:C

  二、填空题:本大题共10小题。每小题4分,共40分,将答案填在题中横线上。

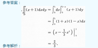
  第11题

  

  参考答案:2/3

  第12题

  

  

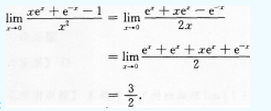
  第13题

  

  

  第14题

  

  参考答案:3

  第15题 曲线y=x+cosx在点(0,1)处的切线的斜率k=_______.

  参考答案:1

  第16题

  

  参考答案:1/2

  第17题

  

  参考答案:1

  第18题 设二元函数z=x2+2xy,则dz=_________.

  参考答案:2(x+y)dx-2xdy

  第19题 过原点(0,0,0)且垂直于向量(1,1,1)的平面方程为________.

  参考答案:z+y+z=0

  第20题 微分方程y’-2xy=0的通解为y=________.

  

  三、解答题:本大翘共8个小题,共70分。解答应写出推理,演算步骤。

  第21题

  

  

  第22题 设Y=y(x)满足2y+sin(x+y)=0,求y’.

  

  第23题 求函数f(x)一x3—3x的极大值.

  

  第24题

  

  

  第25题

  

  

  第26题

  

  

  第27题

  

  

  第28题 求微分方程y”+3y’+2y=ex的通解.

  

复制微信号成功

我知道了
18176876701