2014年成人高考专升本高等数学二考试真题及参考答案
一、选择题:每小题4分,共40分,在每小题给出的四个选项中,只有一项是符合题目要求。
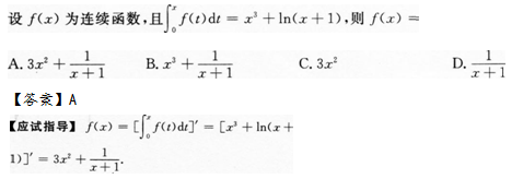
第1题

第2题

第3题

第4题

第5题

第6题

第7题

第8题

第9题

第10题

二、填空题:本大题共10个小题,每小题4分,共40分,把答案填写在题中横线上。
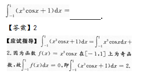
第11题

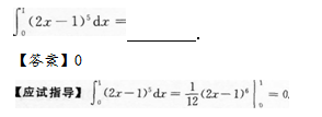
第12题

第13题

第14题

第15题

第16题

第17题

第18题

第19题

第20题

三、解答题:共70分。解答应写出推理、演算步骤。
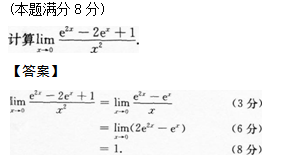
第21题

第22题

第23题

第24题

第25题

第26题

第27题

第28题

