高起点-语文 高起点-英语 高起点-数学 专升本-政治 专升本-英语 专升本-语文 医学综合 教育理论 民法 高等数学一 高等数学二 生态学基础 艺术概论
广西成教招生网 > 成人高考 > 成考辅导 > 高等数学二 >

2015年成人高考专升本高等数学二考试真题及参考答案

 一、选择题:每小题4分,共40分,在每小题给出的四个选项中,只有一项是符合题目要求。

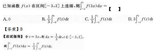
  第1题

  

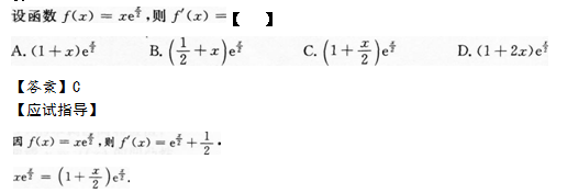
  第2题

  

  第3题

  

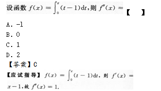
  第4题

  

  第5题

  

  第6题

  

  第7题

  

  第8题

  

  第9题

  

  第10题

  

  二、填空题:本大题共10个小题,每小题4分,共40分,把答案填写在题中横线上。

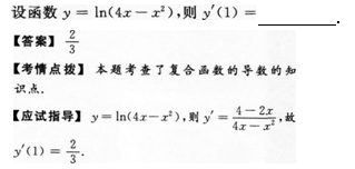
  第11题

  

  第12题

  

  第13题

  

  第14题

  

  第15题

  

  第16题

  

  第17题

  

  第18题

  

  第19题

  

  第20题

  

  三、解答题:共70分。解答应写出推理、演算步骤。

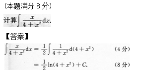
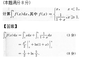
  第21题

  

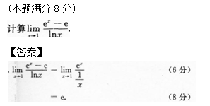
  第22题

  

  第23题

  

  第24题

  

  第25题

  

  第26题

  

  第27题

  

  第28题

  

复制微信号成功

我知道了
18176876701