2015年成人高考高起点数学(文)考试真题及参考答案
一、选择题(本大题共17小题,每小题5分,共85分.在每小题给出的四个选项中。只有一项是符合题目要求的)

















二、填空题(本大题共4小题。每小题4分,共16分)




三、解答题(本大题共4小题。共49分.解答应写出推理、演算步骤)




第11题

参考答案:D
第12题

参考答案:D
第13题

参考答案:B
第14题

参考答案:C
第15题

参考答案:D
第16题

参考答案:A
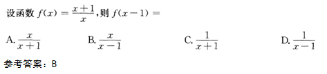
第17题

参考答案:B
二、填空题(本大题共4小题。每小题4分,共16分)
第18题

参考答案:7
第19题

参考答案:y=x-2
第20题

参考答案:1/8
第21题

参考答案:8.7
三、解答题(本大题共4小题。共49分.解答应写出推理、演算步骤)
第22题


第23题


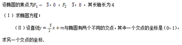
第24题


第25题


